Research Article | Volume 12, Issue 5, September, 2024

Influence of synthetic chelators and LMWOAs on the yield and quality attributes of Panicum maximum Jacq. (Poales: Poaceae) in chromium phytoextraction

P. A. Shahidha A. Bharani G. K. Dinesh M. Maheswari T. Kalaiselvi E. Kokiladevi   

Open Access   

Published:  Jul 20, 2024

DOI: 10.7324/JABB.2024.1689137978
Abstract

Phytoextraction is a cost-effective technology for contaminated site remediation. The study was carried out to investigate the potential of Panicum maximum (Jacq.) to remediate Cr-contaminated soil in tannery industries. Using chromium chelators and hyperaccumulating plants (Guinea grass), efforts have been made to decontaminate the chromium-contaminated tannery sites. To evaluate, the pot experiment was conducted, and Guinea grass’s yield and quality parameters were analyzed. The changes in root length, shoot length, and number of tillers were studied for three months, and the maximum values were 12.6 cm, 163.6 cm, and 12.6 cm, respectively, in the treatment with citric acid. The fodder quality parameters such as crude protein (9.2%), crude fibre (27.24%), and green leaf yield (370.3 g/plant) were magnificent in the treatment with citric acid as the chelator. Indeed, maximum hexavalent chromium (2.94 ± 0.06) and total chromium (17.98 ± 0.05) were observed in the citric acid treatment. Among all the treatments analyzed, the low-molecular-weight organic acids (LMWOAs), especially citric acid at 5 mmol/kg, were the best ones that could be recommended for improving the chelating process in the phytoremediation of chromium by Guinea grass. However, among the synthetic chelators, EDTA has resulted in higher chromium chelation and yield attributes such as root length (10.7 cm), shoot length (153.6 cm), number of tillers (10.3), and quality parameters like Guinea grass such as crude protein (8.1%), crude fibre (28.03%), and green leaf yield (342.6 g/plant). The study indicates that the chelators are enhancing Guinea grass growth and incorporating that may assist in the phytoremediation process.


Keyword:     Chelators Chromium Guinea grass Green fodder yield Crude fibre protein


Citation:

Maheswari M, Kalaiselvi T, Kokiladevi E. Influence of synthetic chelators and LMWOAs on the yield and quality attributes of Panicum maximum Jacq. (Poales: Poaceae) in chromium phytoextraction. J App Biol Biotech. 2024;12(5):154-160. http://doi.org/10.7324/JABB.2024.1689137978

Copyright: Author(s). This is an Open Access article distributed under the terms of the Creative Commons Attribution-NonCommercial-ShareAlike license.

HTML Full Text

1. INTRODUCTION

Phytoaccumulation is the process by which contaminants are extracted from the soil via the roots and transported to the top section of the plant [1]. Because most known hyperaccumulators have poor annual biomass production, significant research is being conducted to improve heavy metal availability in soils and raise the phytoextraction efficiency of potential accumulators. The excessive use of chromium in tanning enterprises and wastewater discharge harms soil profiles, surface water bodies, human health, fish, and other aquatic biodiversities [2]. According to a Blacksmith Institute analysis, almost 75% of chromium sites in South Asia are related to tannery operations, mining, and metallurgy sites. South Asia has a high concentration of chromium sites due to the number of tanneries. Many of these tanneries have insufficient environmental controls and are considered environmentally hazardous [3,4].

The phytoextraction technique requires high biomass yielding short-duration crops for greater viability. Most documented hyperaccumulators are from grass families. Chelate-assisted phytoextraction is accomplished by adding chelating chemicals to the soil to enhance metal bioavailability and translocation from root to shoot [5]. It is a very adaptable cereal fodder crop grown across the tropics and semi-tropics. Similarly, pot studies were carried out to investigate the efficacy of EDTA and citric acid addition in increasing T. angustifolia’s phytoextraction of Cd, Cu, Pb, and Cr from artificially contaminated soil. When exposed to metal stress, it demonstrated extraordinary resistance to heavy metal toxicity, with no visible toxic symptoms such as chlorosis and necrosis [6].

Guinea grass (Panicum maximum Jacq.) is a member of the Poaceae family and is used as feed and forage in intensive livestock systems in the tropics and subtropics. Grasses, on the other hand, have less biomass and a shorter life duration than trees, but they have a huge potential to collect significant concentrations of metals in their roots, stems, and leaves. Guinea grass is unique among irrigated fodder crops because it is drought-robust and shade-tolerant, besides its high production, nutritional content, and wider adaptability to varied ecological niches [7]. It is apomictic mainly and exists primarily in tetraploid form. It also has profuse tillering, high leafiness, thin stems, short duration, and so on, leading to high biomass output and excellent palatability. At present, India has a green fodder shortfall of 64%, necessitating an increase in the supply of high-quality fodder, particularly range grasses, which might revitalize the rapidly declining grasslands. Panicum maximum (Jacq.) is widely regarded as one of the best tropics feed grasses, having high production potential and providing high-quality fodder when correctly maintained. It is highly recognized for its high output, palatability, and long shelf life [8].

The tannery-contaminated sites could be remediated with hyperaccumulators along with LMWOAs. The chelators are a promising technology for making heavy metals more available to plants, but the disposal of these hyperaccumulators is still questionable. A promising cost-effective technology for the recovery of chromium from these plants is the need of the hour. However, the scientific studies on the effects of various chelators on the growth and quality parameters of Guinea grass are limited. To fulfill this research gap, this current study is formulated to evaluate the influence of chelators on the growth parameters (shoot length, root length, number of tillers), green fodder yield, and quality parameters (crude fiber and crude protein). There are no previous studies based on the Guinea grass hyperaccumulation and phytoextraction of chromium.


2. MATERIALS AND METHODS

A pot experiment evaluated chromium’s phytoextraction using Guinea grass in tannery-contaminated soil (total chromium 200 ppm) from the Vellore tannery site and was conducted in a greenhouse at the Department of Environmental Sciences, Tamil Nadu Agricultural University, Coimbatore, India. The soil was air dried for 3 days. Then, the dried soil sample was sieved using a 2-mm sieve to achieve an equal particle size. The study used analytical-grade LMWOA chelators, such as malic acid, citric acid, and oxalic acid, and synthetic chelators, such as EDDHA, EDTA, and DTPA, procured from Hi-Media Laboratories Pvt. Ltd., Coimbatore, India.

Pots were kept in the greenhouse, which had a relative humidity of 70–80%, an air temperature of 23–29°C, and a day length of approximately 12 h. After 1 week, the rooted slips of Guinea grass (GG CO-3), purchased from the Department of Forage Crops, Tamil Nadu Agricultural University, were placed one per pot. The soil moisture content was adjusted daily to 75% of its water-holding capacity by weighing the pots and adding deionized water to compensate for weight loss. The pot bottoms were sealed to eliminate the leaching of mobilized heavy metals. One week after planting Guinea grass, different chelators were applied to the soil. Chromium-contaminated soil of about 4 kg was placed in 7 kg pots (Supplementary Figure 1).

Each treatment was replicated three times, randomly distributed by following a completely randomized design (CRD), and cultivated the grass under shade net for 90 days. Samples were collected at 15-day intervals for up to 90 days of pot study. The treatment plan was as follows: T1: Control (Contaminated soil (CS) – 200 ppm Cr), T2: Oxalic acid 5 mmol/kg + CS, T3: Malic acid 5 mmol/kg + CS, T4: Citric acid 5 mmol/kg + CS, T5: EDDHA 5 mmol/kg + CS, T6: EDTA 5 mmol/kg + CS, and T7: DTPA 5 mmol/kg + CS. The biometrical observations on shoot length (cm), root length (cm), number of tillers per plant, and green fodder yield per plant (g), along with quality traits such as crude protein content and crude fiber content, were analyzed.

2.1. Total Chromium Content of the Guinea Grass-Grown Soil

The total chromium content was analyzed by harvesting the stem just above the soil as shoot biomass, and the below portion is considered root biomass. After immersing the pots and their contents in a water bath and gently cleaning the soil from the roots, the plant roots were removed. Before drying at 70°C, the roots and shoots were cleaned with deionized water and weighed to determine the dry matter yield of roots and shoots. Following digestion with concentrated nitric acid and 30% H2O2, the chromium concentration in the shoots and roots was measured using an atomic absorption spectrophotometer with an air-acetylene flame from Perkin Elmer, AA200.

2.2. Hexavalent Chromium Content of the Guinea Grass-Grown Soil

The hexavalent Cr concentration in soil is determined using the diphenylcarbazide (DPC) method. One gram of the soil sample is taken in a 50-ml polypropylene centrifuge tube, and 25 ml of distilled water is added. The content is shaken using an end-over-end shaker for 2 h. The content was then centrifuged at 8000 rpm for 10 min and filtered using Whatmann No. 1 filter paper. 10 ml of this extract is taken in a 50 ml volumetric flask. 10 ml of 1 N H2SO4 and 4 ml of 1, 5–diphenylcarbazide reagent are added to it, and the volume is made up to 50 ml with distilled water. The content was allowed to stand for 20 min for purple–violet color development. The absorbance of the color was measured at 540 nm using a spectrophotometer and compared with that of the standard Cr solution. 1,5-diphenylcarbazide was prepared by dissolving 0.25 g of 1,5-diphenylcarbazide and 4 g of phthalic anhydride in 100 ml of 95% ethyl alcohol.

2.3. Statistical Analysis

The mean, standard error (SE), and standard deviation (SD) were calculated using Microsoft Office Excel (version 2013). A one-way analysis of variance was performed using SPSS version 16. The LSD test was carried out with repeated comparisons of treatments with significant differences (0.05* or 0.01**).

2.4. Principal Component Analysis

Multivariate statistical analysis is to find the significant parameters by principal component analysis (PCA) [9]. First, the PCs with the greatest eigenvalues were selected since they best reflect variance [10]. Finally, components, eigenvalues, and loadings were used in the biplot analysis.

2.5. Pearson’s Correlation Analysis

The link between soil properties and chromium fractions was investigated using Pearson correlation analysis in OriginPro version 2021 by pairwise eliminating missing values from the lower triangular matrix. The significance level, P-values, and correlation values were then calculated and analyzed. Positive values (red) indicate a positive link between the parameters, while negative values (blue) indicate a reciprocal relationship.


3. RESULTS AND DISCUSSION

3.1. Plant Growth Parameters

3.1.1. Effect of chelators on root and shoot length of the Guinea grass (cm)

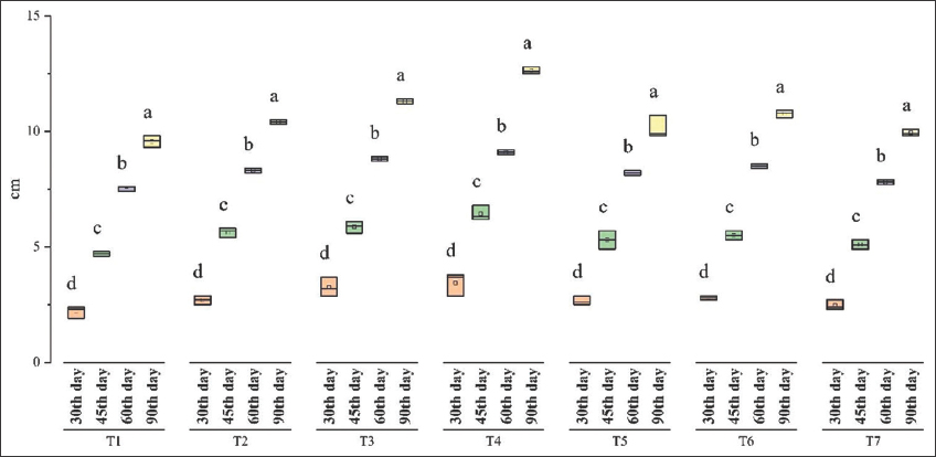
Root length is a prominent factor in metal uptake and accumulation. Root length increased as the days advanced in the experiment [Figure 1]. The highest root length was observed in Guinea grass treatment applied with citric acid as a chelator at 5 mmol/kg of soil (12.6 cm). Among the treatments applied with inorganic chelators, EDTA has been shown to have a maximum root length (10.7 cm) next to citric acid. The lowest root length (9.5) was observed in control (T1) without applying chelators on the 90th day.

Figure 1: Effect of chelators on root length of the guinea grass (cm).



[Click here to view]

Shoot length is among the important parameters for accumulating heavy metals in hyperaccumulating plants like Guinea grass. All the treatments had increased shoot length at the end of the pot experiment (the 90th day) [Figure 2]. Control without any chelators was recorded as having the lowest shoot length (137.1 cm), while the treatment amended with citric acid at 5 mmol/kg of soil had the highest shoot length (163.6 cm). The treatment with oxalic acid at 5 mmol/kg of soil recorded the second-highest shoot length (160.7 cm). Among the synthetic chelators, the highest shoot length was recorded in the treatment with EDTA (153.6 cm), followed by the treatment with EDDHA (148.7 cm). In general, treatments with LMWOAs as chelators have more shoot length than synthetic chelators.

Figure 2: Effect of chelators on shoot length of the guinea grass (cm).



[Click here to view]

The addition of chelators to contaminated soil improves heavy metal transfer from roots to shoots and, finally, to leaves. Complexation enhances chromium solubility and, thus, mobility across the root xylem. Cr (VI) penetrates the root cells through the symplastic pathway, whereas Cr (III) enters through the apoplastic pathway. The Cr (VI) then gets reduced and accumulated in the cortex. Thus, chelating agent maintains more significant bioaccumulation elements in stems and leaves. Adding chelators at lower rates of 2 and 5 mmol/kg increased sweet sorghum biomass (shoot and roots) compared to the control. Furthermore, increasing chelator dosages favored biomass production; however, chelators had a detrimental effect at levels greater than 5 mmol/kg [11].

3.1.2. Effect of chelators on the number of tillers of the Guinea grass

In general, the number of Guinea grass tillers increased with the crop’s duration. All treatments significantly increased except the control [Figure 3]. The highest number of tillers was observed in the treatment with citric acid as a chelator (12.6). The second-highest number of tillers was observed in the treatment with malic acid (11). The oxalic acid and EDTA at 5 mmol/kg of soil had a similar number of tillers (10.3) on the 90th day. The control without chelators had the lowest number of tillers (9.5) on the 90th day of the experiment. Initially, all rooted slips of Guinea grass had a single tiller.

Figure 3: Effect of chelators on the number of tillers of the guinea grass.



[Click here to view]

3.2. Quality Parameters

3.2.1. Effect of chelators on crude fiber (%) of Guinea grass (90th day)

The crude fiber content recorded significant differences within treatments. The maximum crude fiber was recorded by malic acid. The least content of crude fiber was recorded by a citric acid chelator applied at 5 mmol/kg of soils [Figure 4]. The lowest crude fiber, which is the best quality of fodder crop, was obtained with the application of citric acid, with a mean value of 27.24%. The highest crude fiber was observed in the treatment without the application of any chelators (28.98%). Among the synthetic chelators, the lowest fraction of crude fiber was observed in the treatment with EDTA at 5 mmol/kg (28.03%). A higher amount of crude fiber lowers forage quality. The crude fiber determines the digestibility of cattle feed. As the harvesting interval advances, crude fiber also increases. This could be related to increase maturity, which produces more fiber, lowering fodder quality [12]. The crude fiber content of grass could be used to help choose fodder as a source of dietary fiber [7]. According to Iyanar et al. [13], reduced fiber content confers higher digestibility and palatability, which were highly accomplished in the study due to the use of chelators.

Figure 4: Effect of chelators on crude fibre (%) of guinea grass (90th day).



[Click here to view]

3.2.2. Effect of chelators on crude protein of Guinea grass (90th day)

The application of iron chelate sources significantly affected crude protein content [Figure 5]. The crude protein content increased irrespective of the treatments as the days advanced. The highest crude protein was recorded in the treatment applied with citric acid (9.2%), followed by the treatment with oxalic acid (8.9%). Citric acid application gradually enhanced protein contents (leaves and roots) [14]. The lowest crude protein content was noted in treatments without chelators (7.6%). Among the synthetic chelators, the highest percentage of crude protein was recorded in EDTA-amended treatment (8.1%), and the lowest percentage was vested with EDDHA-treated soil (7.8%) at 5 mmol/kg. Like legume fodder, Guinea grass has a high crude protein content [7]. It was also discovered that mineral supplementation significantly raised total carbs and crude protein percentages. Improved protein content could be attributed to enhanced food absorption, an essential protein synthesis component [15]. Dairy animals require an optimal concentration of protein and trace metals as a nutrition source to produce sustainable milk [16]. In certain cases, the use of foliar micronutrients increased crude protein and dry matter digestibility by 1.9–11% and 8–19%, respectively, while decreasing crude fiber content in non-traditional crops.

Figure 5: Effect of chelators on Crude protein of guinea grass (90th day).



[Click here to view]

3.3.3. Effect of chelators on green fodder yield of Guinea grass (90th day)

Green fodder yield is an important parameter in deciding the quality of the fodder. Green fodder yield increased in all treatments irrespective of the chelators [Figure 6]. The highest yield was recorded in the treatment with citric acid (370.3 g/plant), and the lowest was in the treatment without any chelators (328.6 g/plant). Among the treatments amended with synthetic chelators, the highest green fodder yield was recorded in the EDTA treatment (342.6 g/plant) and the lowest in the DTPA treatment (331.3 g/plant). A good chelator may facilitate the movement of nutrients as well which is necessary for green fodder production. It was discovered that [17] amino acids and organic acids have a chelating effect on metal nutrients, and when combined with micronutrients, soil absorption and translocation of micronutrients inside plant tissues improve.

Figure 6: Effect of chelators on green fodder yield of guinea grass (90th day).



[Click here to view]

3.3.4. Total chromium and hexavalent chromium content of the Guinea grass-grown soil

The use of chelators resulted in a considerable rise in Cr (VI) and total chromium concentration. At the end of the experiment, the maximum concentration of Cr (VI) was found in the citric acid-treated soil (T4) at around 2.94 ppm, while the lowest concentration of Cr (VI) was found in the control at 0.30 ppm [Table 1]. In a comparable manner, on the 90th day of the experiment, the total chromium concentration was 1.38 ppm in the control soil and 17.98 ppm in the citric acid-treated soil [Table 1]. Among the synthetic chelators, EDTA at 5 mmol/kg treated soil had the highest Cr (VI) and total chromium concentrations of 2.42 and 15.76 ppm, respectively.

Table 1: Total chromium and hexavalent chromium content (ppm) of the Guinea grass grown soil

TreatmentsHexavalent Chromium (ppm)Total Chromium (ppm)
T1 Absolute Control0.30±0.061.38±0.14
T2 Oxalic acid + 200 ppm Cr2.20±0.1115.58±0.24
T3 Malic acid + 200 ppm Cr1.92±0.0414.56±0.54
T4 Citric acid + 200 ppm Cr2.94±0.0617.98±0.05
T5 EDDHA + 200 ppm Cr0.85±0.0912.17±0.20
T6 EDTA + 200 ppm Cr2.42±0.1215.76±0.17
T7 DTPA + 200 ppm Cr0.78±0.146.28±0.56

*Values represent mean of three replications±SD **Chromium contaminated soil (200 ppm) alone

The bioavailability of chromium from polluted soil by means of the cell membrane has been proven [18]. When compared to other chelators such as EDTA and DTPA, citric acid was found to be the most effective at translocating chromium. The level of chromium in the root of a lemongrass cultivated in soil treated with citric acid and Fe-EDTA increased. The application of chelators boosted metal transfer from soil to plants. The amount of bioavailable metals rose when chelators were applied to soil. Chelators produce very stable complexes with Fe after dissolving Fe-(hydr)oxides, greatly influencing the phytoextraction of the target metals [19]. This clearly demonstrates the effectiveness of chelators in mobilizing metals in the rhizosphere. With chelator treatment, an increase in the bioconcentration factor (BCF) and transportation index (Ti) values suggested improved metal mobilization from soil to roots and then to aerial portions of the grass [20].

3.3.5. Pearson’s correlation analysis on the final day (90th day)

The Guinea grass shoot length and root length have a significant positive correlation of 0.78 (*P ≤ 0.05). Tillers and shoot length have a highly significant correlation of 0.76 (*P ≤ 0.05). Crude protein and shoot length are highly significantly correlated at 0.86 (*P ≤ 0.05) on the 90th day of the experiment [Figure 7]. However, the crude fiber content of Guinea grass has a similar negative correlation with the number of tillers and root length of −0.72 (*P ≤ 0.05). Furthermore, crude fiber has a significant negative correlation with shoot length of −0.85 (*P ≤ 0.05) and crude protein of −0.82 (*P ≤ 0.05). Green fodder yield significantly correlates with all plant parameters except crude fiber content (−0.86). Among all the parameters, the highest significant positive correlation was between the number of tillers and root length (0.99) of the plant (*P ≤ 0.05).

Figure 7: Pearson’s correlation analysis on the final day (90th day).



[Click here to view]

3.3.6. Principle component analysis on the 90th day

The principal component analysis on the 90th day was carried out as PC1 (86.6%) and PC2 (7.5%) [Figure 8]. The results showed a high correlation between citric acid (T4) application at 5 mmol/kg and Guinea grass root length, number of tillers, and green fodder yield. The principal component analysis had treatments amended with citric acid (T4) and malic acid (T3) in the same segment, as well as treatments with oxalic acid (T2) and EDTA (T6) in another segment. The treatments amended with EDDHA (T5) and DTPA (T7) are segmented oppositely. Crude fiber, one of the quality parameters of the grass, was in an entirely different segment, just as the control, since it had the highest fraction of crude fiber. Overall, this biplot graph showed that citric acid treatment was the best among all since the major fraction falls in the positive first quadrant of the graph.

Figure 8: Biplot graph on the final day of the pot experiment.



[Click here to view]

4. CONCLUSIONS

Chelators were an emerging technology since they would make chromium more available to plants. In the current study, among the synthetic chelators and LMWOAs, citric acid at 5 mmol kg−1 shows the best results in Guinea grass yield attributes such as percent increase in root length (32.6%), shoot length (19.3%), and number of tillers (32.5%) compared to control. The yield attributes were significantly increased over the days, which have a positive impact on the application of chelators, which increases the bioavailability of nutrients as well. The quality parameters such as crude protein and green fodder yield had a percentage increase of 21% and 12.6%, respectively, in the citric acid amended treatment (T6) while there was a 5.8% decrease in the crude fiber content alone, which makes the grass more palatable and productive. More total and hexavalent chromium was found in citric acid treatment, which indirectly signifies their role in the chelation process. From the studies, we found that the phytoextraction of chromium using Guinea grass is a promising cost-effective technology. Hence, it can be recommended for hyperaccumulator plants along with chelators to remediate heavy metal-contaminated sites. The cost of chelators and the application seem to be harder sometimes. However, inorganic chelators have detrimental effects on the soil microorganisms, loss of fertility, and leaching into the soil column. Low-molecular-weight organic acids are advisable. Still, much work has to be done in the area of recovering of chromium back from hyperaccumulators since it will create hazards at the dump site. Subsequent organic manure application after the chelators will help to retain the soil quality.


5. AUTHOR CONTRIBUTIONS

All authors made substantial contributions to conception and design, acquisition of data, or analysis and interpretation of data; took part in drafting the article or revising it critically for important intellectual content; agreed to submit to the current journal; gave final approval of the version to be published; and agree to be accountable for all aspects of the work. All the authors are eligible to be an author as per the international committee of medical journal editors (ICMJE) requirements/guidelines.


6. FUNDING

There is no funding to report.


7. CONFLICTS OF INTEREST

The authors report no financial or any other conflicts of interest in this work.


8. ETHICAL APPROVALS

This study does not involve experiments on animals or human subjects.


9. DATA AVAILABILITY

All the data is available with the authors and shall be provided upon request.


10. PUBLISHER’S NOTE

All claims expressed in this article are solely those of the authors and do not necessarily represent those of the publisher, the editors and the reviewers. This journal remains neutral with regard to jurisdictional claims in published institutional affiliation.


11. USE OF ARTIFICIAL INTELLIGENCE (AI)-ASSISTED TECHNOLOGY

The authors declares that they have not used artificial intelligence (AI)-tools for writing and editing of the manuscript, and no images were manipulated using AI.


REFERENCES

1.  Boonyapookana B, Parkpian P, Techapinyawat S, DeLaune RD, Jugsujinda A. Phytoaccumulation of lead by sunflower (Helianthus annuus), tobacco (Nicotiana tabacum), and vetiver (Vetiveria zizanioides). J Environ Sci Health A Tox Hazard Subst Environ Eng 2005;40:117-37. [CrossRef]

2.  Mohanta MK, Salam MA, Saha AK, Hasan A, Roy AK. Effects of tannery effluents on survival and histopathological changes in different organs of Channa punctatus. Asian J Exp Biol Sci 2010;1:294-302.

3.  Azom MR, Mahmud K, Yahya SM, Sontu A, Himon SB. Environmental impact assessment of tanneries:A case study of Hazaribag in Bangladesh. Int J Environ Sci Dev 2012;3:152-6. [CrossRef]

4.  Sathya V, Sinduja M, Kalpana P, Maheswari M, Ramasubramaniyan MR, Mahimairaja S. Strategic study of adsorption and desorption of chromium on vertisols and its implication in developing an effective remediation technology. Int J Environ Anal Chem 2021;101:5569-83. [CrossRef]

5.  Pajevic S, Borišev M, Nikolic N, Arsenov DD, Orlovic S, Župunski M. Phytoextraction of heavy metals by fast-growing trees:A review. In:Phytoremediation:Management of Environmental Contaminants. Vol. 3. Cham, Switzerland:Springer International Publishing;2016. 29-64. [CrossRef]

6.  Muhammad D, Chen F, Zhao J, Zhang G, Wu F. Comparison of EDTA-and citric acid-enhanced phytoextraction of heavy metals in artificially metal contaminated soil by Typha angustifolia. Int J Phytoremediation 2009;11:558-74. [CrossRef]

7.  Ramakrishnan P, Babu C, Iyanar K, Manivannan N. Principal component analysis for evaluation of Guinea grass (Panicum maximum Jacq.) Germplasm accessions. Int J Environ Agric Res 2016;2:142-6.

8.  Mishra S, Sharma S, Vasudevan P. Comparative effect of biofertilizers on fodder production and quality in Guinea grass (Panicum maximum Jacq.). J Sci Food Agric 2008;88:1667-73. [CrossRef]

9.  Andrews SS, Karlen DL, Mitchell JP. A comparison of soil quality indexing methods for vegetable production systems in Northern California. Agric Ecosyst Environ 2002;90:25-45. [CrossRef]

10.  Brejda JJ, Moorman TB, Karlen DL, Dao TH. Identification of regional soil quality factors and indicators I. Central and Southern High Plains. Soil Sci Soc Am J 2000;64:2115-24. [CrossRef]

11.  Oladele SO, Oladele BB, Ajala R, Dada BF. Emerging contaminants:Evaluation of degradable chelators towards enhancing cadmium phytoextraction efficiency of bioenergy crop grown on polluted soil. Emerg Contam 2021;7:139-48. [CrossRef]

12.  Ullah MA, Anwar M, Rana AS. Effect of nitrogen fertilization and harvesting intervals on the yield and forage quality of elephant grass (Pennisetum purpureum) under mesic climate of Pothowar plateau. Pak J Agric Sci 2010;47:231-4.

13.  Iyanar K, Babu C, Kumaravadivel N, Kalamani A, Velayudham K, Bama KS. A high yielding multicut fodder Sorghum CO 31. Electron J Plant Breed 2015;6:54-7.

14.  Farid M, Ali S, Rizwan M, Ali Q, Abbas F, Bukhari SA, et al. Citric acid assisted phytoextraction of chromium by sunflower;morpho-physiological and biochemical alterations in plants. Ecotoxicol Environ Saf 2017;145:90-102. [CrossRef]

15.  Balai ML, Verma A, Nepalia V, Kanthaliya PC. Productivity and quality of Maize (Zea mays) as influenced by integrated nutrient management under continuous cropping and fertilization. Indian J Agric Sci 2011;81:374-6.

16.  Iqbal MA, Iqbal A. Overviewing forage shortage for dairy animals and suitability of forage Sorghum for ensiling. Glob Vet 2015;14:173-7.

17.  Souri MK. Aminochelate fertilizers:The new approach to the old problem;a review. Open Agric 2016;1:118-23. [CrossRef]

18.  Turgut C, Pepe MK, Cutright TJ. The effect of EDTA and citric acid on phytoremediation of Cd, Cr, and Ni from soil using Helianthus annuus. Environ Pollut 2004;131:147-54. [CrossRef]

19.  Jean L, Bordas F, Gautier-Moussard C, Vernay P, Hitmi A, Bollinger JC. Effect of citric acid and EDTA on chromium and nickel uptake and translocation by Datura innoxia. Environ Pollut 2008;153:555-63. [CrossRef]

20.  Patra DK, Pradhan C, Patra HK. Chelate based phytoremediation study for attenuation of chromium toxicity stress using lemongrass:Cymbopogon flexuosus (nees ex steud.) W. Watson. Int J Phytoremediation 2018;20:1324-9. [CrossRef]

Reference

1. Boonyapookana B, Parkpian P, Techapinyawat S, DeLaune RD, Jugsujinda A. Phytoaccumulation of lead by sunflower (Helianthus annuus), tobacco (Nicotiana tabacum), and vetiver (Vetiveria zizanioides). J Environ Sci Health A Tox Hazard Subst Environ Eng 2005;40:117-37. https://doi.org/10.1081/ESE-200033621

2. Mohanta MK, Salam MA, Saha AK, Hasan A, Roy AK. Effects of tannery effluents on survival and histopathological changes in different organs of Channa punctatus. Asian J Exp Biol Sci 2010;1:294-302.

3. Azom MR, Mahmud K, Yahya SM, Sontu A, Himon SB. Environmental impact assessment of tanneries: A case study of Hazaribag in Bangladesh. Int J Environ Sci Dev 2012;3:152-6. https://doi.org/10.7763/IJESD.2012.V3.206

4. Sathya V, Sinduja M, Kalpana P, Maheswari M, Ramasubramaniyan MR, Mahimairaja S. Strategic study of adsorption and desorption of chromium on vertisols and its implication in developing an effective remediation technology. Int J Environ Anal Chem 2021;101:5569-83. https://doi.org/10.1080/03067319.2021.1940985

5. PajevicS, Borišev M, Nikolic N, Arsenov DD, Orlovic S, Župunski M. Phytoextraction of heavy metals by fast-growing trees: A review. In: Phytoremediation: Management of Environmental Contaminants. Vol. 3. Cham, Switzerland: Springer International Publishing; 2016. p. 29-64. https://doi.org/10.1007/978-3-319-40148-5_2

6. Muhammad D, Chen F, Zhao J, Zhang G, Wu F. Comparison of EDTA-and citric acid-enhanced phytoextraction of heavy metals in artificially metal contaminated soil by Typha angustifolia. Int J Phytoremediation 2009;11:558-74. https://doi.org/10.1080/15226510902717580

7. Ramakrishnan P, Babu C, Iyanar K, Manivannan N. Principal component analysis for evaluation of Guinea grass (Panicum maximum Jacq.) Germplasm accessions. Int J Environ Agric Res 2016;2:142-6.

8. Mishra S, Sharma S, Vasudevan P. Comparative effect of biofertilizers on fodder production and quality in Guinea grass (Panicum maximum Jacq.). J Sci Food Agric 2008;88:1667-73. https://doi.org/10.1002/jsfa.3267

9. Andrews SS, Karlen DL, Mitchell JP. A comparison of soil quality indexing methods for vegetable production systems in Northern California. Agric Ecosyst Environ 2002;90:25-45. https://doi.org/10.1016/S0167-8809(01)00174-8

10. Brejda JJ, Moorman TB, Karlen DL, Dao TH. Identification of regional soil quality factors and indicators I. Central and Southern High Plains. Soil Sci Soc Am J 2000;64:2115-24. https://doi.org/10.2136/sssaj2000.6462115x

11. Oladele SO, Oladele BB, Ajala R, Dada BF. Emerging contaminants: Evaluation of degradable chelators towards enhancing cadmium phytoextraction efficiency of bioenergy crop grown on polluted soil. Emerg Contam 2021;7:139-48. https://doi.org/10.1016/j.emcon.2021.05.001

12. Ullah MA, Anwar M, Rana AS. Effect of nitrogen fertilization and harvesting intervals on the yield and forage quality of elephant grass (Pennisetum purpureum) under mesic climate of Pothowar plateau. Pak J Agric Sci 2010;47:231-4.

13. Iyanar K, Babu C, Kumaravadivel N, Kalamani A, Velayudham K, Bama KS. A high yielding multicut fodder Sorghum CO 31. Electron J Plant Breed 2015;6:54-7.

14. Farid M, Ali S, Rizwan M, Ali Q, Abbas F, Bukhari SA, et al. Citric acid assisted phytoextraction of chromium by sunflower; morpho-physiological and biochemical alterations in plants. Ecotoxicol Environ Saf 2017;145:90-102. https://doi.org/10.1016/j.ecoenv.2017.07.016

15. Balai ML, Verma A, Nepalia V, Kanthaliya PC. Productivity and quality of Maize (Zea mays) as influenced by integrated nutrient management under continuous cropping and fertilization. Indian J Agric Sci 2011;81:374-6.

16. Iqbal MA, Iqbal A. Overviewing forage shortage for dairy animals and suitability of forage Sorghum for ensiling. Glob Vet 2015;14:173-7.

17. Souri MK. Aminochelate fertilizers: The new approach to the old problem; a review. Open Agric 2016;1:118-23. https://doi.org/10.1515/opag-2016-0016

18. Turgut C, Pepe MK, Cutright TJ. The effect of EDTA and citric acid on phytoremediation of Cd, Cr, and Ni from soil using Helianthus annuus. Environ Pollut 2004;131:147-54. https://doi.org/10.1016/j.envpol.2004.01.017

19. Jean L, Bordas F, Gautier-Moussard C, Vernay P, Hitmi A, Bollinger JC. Effect of citric acid and EDTA on chromium and nickel uptake and translocation by Datura innoxia. Environ Pollut 2008;153:555-63. https://doi.org/10.1016/j.envpol.2007.09.013

20. Patra DK, Pradhan C, Patra HK. Chelate based phytoremediation study for attenuation of chromium toxicity stress using lemongrass: Cymbopogon flexuosus (nees ex steud.) W. Watson. Int J Phytoremediation 2018;20:1324-9. https://doi.org/10.1080/15226514.2018.1488812

Article Metrics
683 Views 183 Downloads 866 Total

Year

Month

Related Search

By author names